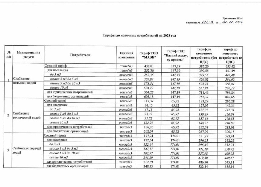
Департамент Комитета по регулированию естественных монополий РК по Мангистауской области утвердил ТОО «МАЭК» новые тарифы 2025-2029 годы на снабжение питьевой, технической, горячей водой.
С 1 февраля 2025 года жителям Актау предстоит оплачивать водоснабжение по новым тарифам, которые будут дифференцироваться в зависимости от нормы потребления и групп потребителей. Тарифы планируется ежегодно повышать вплоть до 2029 года.
В 2025 году тарифы на водоснабжение для жителей Актау будут повышаться дважды в год.

Так, с 1 января по 31 марта 2025 года:
Питьевая вода – тариф до конечного потребителя (население) с НДС составит:
Техническая вода – тариф до конечного потребителя (население) с НДС составит:
Горячая вода – тариф до конечного потребителя (население) с НДС составит:
С 1 апреля по 31 декабря 2025 года
Питьевая вода – тариф до конечного потребителя (население) с НДС составит:
Техническая вода - тариф до конечного потребителя (население) с НДС составит:
Горячая вода – тариф до конечного потребителя (население) с НДС составит:
В таблице вы также сможете ознакомиться с изменениями тарифов на водоснабжение в последующие годы.




Напоним, 26 апреля 2024 года ТОО «МАЭК» совместно с представителями Мангистауского областного акимата провели публичные слушания, связанные с повышением тарифов на питьевую воду. «Изюминку» мероприятию добавил первый заместитель акима области, который принес на встречу 100 ведер.
Комментарии
5 комментарий(ев)